【導讀】本篇文章主要介紹了高壓驅動IC當中自舉電容和二極管的選擇,并且給出了較為詳細的講解,給出了在選擇自舉電容時所需要注意的幾項內容,希望大家在閱讀過本篇文章之后能對自舉電容和二極管的選擇有進一步的了解。
二極管是一種在電路當中非常常見的器件,這種器件當中有兩個電極,只允許在電路當中的電流進行單方面的通過,二極管在整流電路當中應用的比較多。自舉電容與信號反饋有關,在將輸出信號反饋回輸入端時,如果相位是相同的話,屬于正反饋,主要作用是增加輸出,這就是自舉電路。本篇文章將為大家介紹在高壓驅動IC當中自舉電容和二極管的選擇。
Vbs(驅動電路Vb 和Vs 管腳之間的電壓差)給集成電路高端驅動電路提供電源。該電源電壓必須在10-20V之間,以確保驅動集成電路能夠完全地驅動MOS柵極器件(MGT)。部分驅動集成電路有 Vbs欠壓保護,當Vbs電壓下降到一定值時,將關閉高端驅動輸出,保證MGT不會在高功耗下工作。

Vbs電源是懸浮電源,附加在Vs電壓上(Vs通常是一個高頻的方波)。有許多方法可以產生Vbs懸浮電源,其中一種如本文中介紹的自舉方式。這種方式的好處是簡單、低廉,但也有局限性。占空比和開通時間受限于自舉電容的再充電,自舉電源由二極管和電容組成,如圖1所示。
電路的工作原理如下,當Vs被拉到地時(通過下端器件或負載,視電路結構而定),15V Vcc電源通過自舉二極管(Dbs) 給自舉電容(Cbs)充電。因此給Vbs提供一個電源。
有五種以下因素影響對Vbs電源的要求:
MGT柵極電荷要求、Iqbs高端驅動電路靜態(tài)電流、驅動IC中電平轉換電路的電流、MGT柵極源漏電流、自舉電容漏電流。
最后一個因素只有當自舉電容是電解電容時才考慮,其它類型電容可以忽略,因此建議使用非電解類電容。
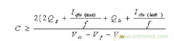
下列公式列出了自舉電容應該提供的最小電荷要求:

Qg:高端器件柵極電荷
f:工作頻率
Icbs(leak):自舉電容漏電流
Qls:每個周期內,電平轉換電路中的電荷要求,500V/600V IC 為5nc,1200V IC 為20nc。
[page]
自舉電容必須能夠提供這些電荷,并且保持其電壓。否則Vbs將會有很大的電壓紋波,并且可能會低于欠壓值Vbsuv,使高端無輸出并停止工作。因此Cbs電容的電荷應是最小值的二倍,最小電容值可以由下式計算:

其中, Vf:自舉二極管正向壓降。
VLS:低端器件壓降或高端負載壓降。
內部集成的是雙向阻斷高壓MOSFET,不是二極管 。
這類IC在中小功率領域很好用,不適合高功率場合。
原則上,C/D可以這么選。注意二極管的反向恢復特性。盡量避免用硬恢復特性的二極管。在二極管上,最好能串些電阻。為何電容只用這么低耐壓的電壓?而二極管卻要這么大呢?因為電容是接在VB-BS上的,最高工作電壓是VCC,原則上,25V耐壓就足夠了。這和主回路電壓無關。而二極管要承受所有電源電壓。
選自舉電容需要注意
由式(2)計算的Cbs電容值是最小的要求,由于自舉電路的固有工作原理,低容值可能引起過充電,從而導致IC損壞。為了避免過充電和進一步減小Vbs紋波,由式(2)計算的容值應乘一個系數15。
Cbs電容只在高端器件關斷,Vs被拉到地時才被充電。因此低端器件開通時間(或高端器件關斷時間)應足夠長,以保證被高端驅動電路吸收掉的電容Cbs 上的電荷被完全補充,因此對低端器件的開通時間(或高端器件的關斷時間)有最小要求。
另外,由于高端器件電路的結構使負載成為充電回路一部分時,負載的阻抗將直接影響自舉電容Cbs的充電。如果阻抗太高,電容將不能充分充電,這時就需要充電泵電路 。高頻,尤其是功率布線是非常講究的。高壓驅動也不例外。

自舉電容要盡可能靠近IC的管腳。如圖2所示,至少有一個低ESR的電容提供就近耦合。例如:如果使用了鋁電解電容做為自舉電容,就應再用一個瓷電電容。如果自舉電容是瓷電或鉭電容,自己做為就地耦合也就足夠了?,F代的SMD電容器件 ,已經可以達到1206封裝10UF級別。原則上可以只用一個貼片電容就足夠了。



